Intervention: Nutrafol Build-Up Blocker Scalp Microbiome Exfoliating Mask (n = 38), Nutrafol Root Purifier Scalp Microbiome Shampoo (n = 37), Nutrafol Stress Reliever Scalp Microbiome Essence (n = 33) and Nutrafol Strand Defender Lightweight Protective Conditioner.
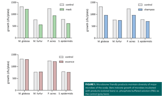
Methods: All products underwent in vitro analysis to evaluate their ability to modulate bacterial and fungal colonies.
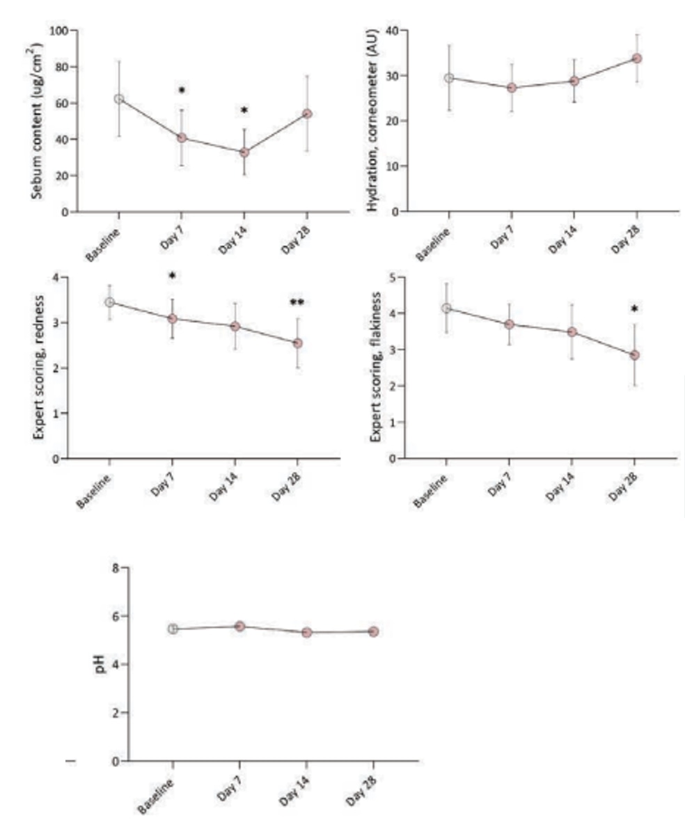
Individual products were subsequently tested clinically: Build-Up Blocker Mask was evaluated for sebum build-up; Root Purifier Scalf Microbiome Shampoo was evaluated for sebum build-up and hydration, plus expert scoring for flakiness; Stress Reliever Scalp Essence was evaluated for sebum content and hydration, plus expert scoring for redness and flakiness; Strand Defender Lightweight Protective Conditioner was evaluated for its properties in decreasing snags, entanglements and abrasion between hair fibers on bleached hair.
Study Duration: Varied; up to 28 days
Eligibility Criteria:
- Nutrafol's Build-up Blocker Mask: Subjects with moderate-to-high sebum build-up.
- Nutrafol's Root Purifier Scalp Microbiome Shampoo: Subjects with oil, dry and/or a self-perceived sensitive scalp.
- Stress Reliever Scalp Essence: Subjects with an irritated scalp.