CLINICAL TRIAL | CONFERENCE ABSTRACT
Novel Allulose Amino Acid-Containing Sugar-Free Beverage Results in Rapid Ad Libitum Rehydration Following Exercise-Induced Dehydration (Rehydration Efficiency During Ad-libitum Fluid Intake)
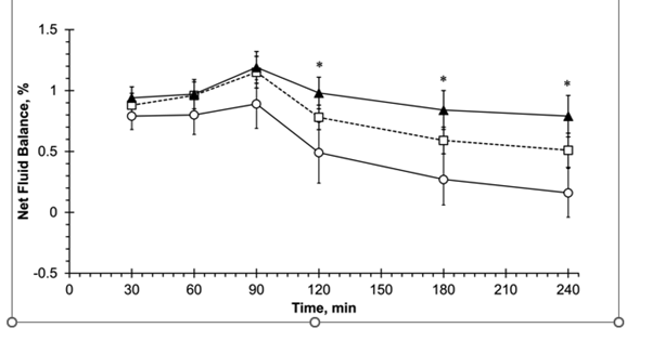
The aim of this study was to determine the efficacy Sugar-Sweetened ORS (SS-ORS, Liquid I.V. Hydration Multiplier) and Sugar-Free ORS (SF-ORS, Liquid I.V. Sugar-Free) on ad libitum rehydration in healthy participants subject to an exercise-induced dehydration protocol.